رابيبرازول هيدروكسي مركب CAS 675198-19-3 نقاء> 99.0% (HPLC) مصنع
Shanghai Ruifu Chemical هي الشركة الرائدة في تصنيع [4-(3-ميثيوكسيبروبوكسي)-3-ميثيل-2-بيريدينيل] ميثانول هيدروكلوريد (مركب رابيبرازول هيدروكسي) (CAS: 675198-19-3) بجودة عالية ووسيطة من ريبيبرازول الصوديوم (CAS: 117976-90-6). تقدم Ruifu Chemical مواد وسيطة صيدلانية متقدمة وعالية الجودة ومكونات صيدلانية نشطة (APIs).
يمكن أن توفر Ruifu Chemical خدمة التوصيل في جميع أنحاء العالم والأسعار التنافسية والخدمة الممتازة والكميات الصغيرة والكبيرة المتاحة. شراء وسيطة رابيبرازول الصوديوم، يرجى الاتصال: alvin@ruifuchem.com
| الاسم الكيميائي | [4-(3-ميثيوكسيبروبوكسي)-3-ميثيل-2-بيريدينيل]ميثانول هيدروكلوريد |
| المرادفات | مركب رابيبرازول هيدروكسي؛ (4-(3-ميثوكسيبروبوكسي)-3-ميثيلبيريدين-2-ييل) ميثانول هيدروكلوريد؛ 4-(3-ميثوكسيبروبوكسي)-3-ميثيلبيريدين-2-هيدروكلوريد الميثانول |
| رقم كاس | 675198-19-3 |
| حالة المخزون | في المخزون، يصل الإنتاج إلى طن |
| الصيغة الجزيئية | C11H18ClNO3 |
| الوزن الجزيئي | 247.72 |
| شهادة توثيق البرامج وMSDS | متاح |
| أصل المنتج | شنغهاي، الصين |
| مدة الصلاحية | 24 شهرًا عند تخزينها بشكل صحيح |
| فئات المنتجات | الوسطيات الصيدلانية |
| العلامة التجارية | رويفو الكيميائية |
| البند | المواصفات | النتائج |
| المظهر | مسحوق بلوري أصفر فاتح | مسحوق بلوري أصفر فاتح |
| الفحص / طريقة التحليل | >99.0% ([هبلك]) | 99.7% |
| خسارة في التجفيف | <0.50% | 0.23% |
| بقايا على الاشتعال | <0.20% | 0.06% |
| أي نجاسة واحدة | <0.50% | <0.50% |
| مجموع الشوائب | <0.50% | 0.30% |
| المعادن الثقيلة (مثل الرصاص) | <20 جزء في المليون | <20 جزء في المليون |
| الاستنتاج | تم اختبار المنتج وهو متوافق مع المواصفات المحددة | |
| الاستخدام | وسيط ريبيبرازول الصوديوم (CAS: 117976-90-6) | |
الحزمة: زجاجة، كيس رقائق الألومنيوم، 25 كجم/أسطوانة من الورق المقوى، أو وفقًا لمتطلبات العميل
حالة التخزين:تخزينها في حاويات مغلقة في مكان بارد وجاف. حماية من الضوء والرطوبة


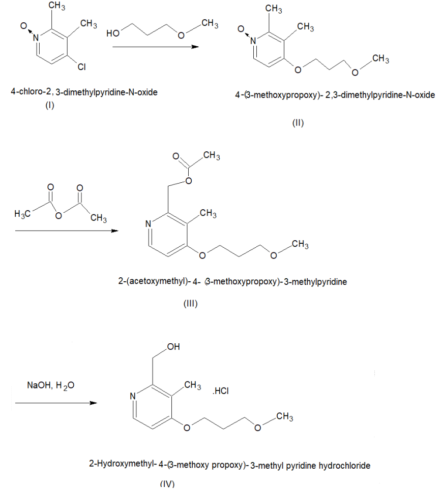
[4-(3-ميثوكسي بروبوكسي)-3-ميثيل-2-بيريدينيل] ميثانول هيدروكلوريد، مركب رابيبرازول هيدروكسي، (CAS: 675198-19-3) هو مادة وسيطة لريبيبرازول الصوديوم (CAS: 117976-90-6). رابيبرازول آزول الصوديوم هو فئة مثبطات مضخة البروتون التي تتناول الأدوية، لشكل ملح الصوديوم راي بيلا أزول، تم تطويره لأول مرة بنجاح من قبل شركة Eisai اليابانية لأول مرة، اسم السلعة لقوة الموجة، دور مثبطات مضخة البروتون هو تقليل إفراز حمض المعدة في مناطق المرض المستقرة، وذلك لعلاج قرحة المعدة والاثني عشر وتأثير مرض قلس المريء في المعدة. يتم استخدامه بشكل رئيسي في العلاج السريري للأمراض المرتبطة بالحمض، مثل اختيار قرحة المعدة والاثني عشر، والقرحة الهضمية، ومرض الجزر المعدي المريئي، ومتلازمة تشوي، وما إلى ذلك. ريبيبرازول الصوديوم له بداية أسرع للعمل مقارنة مع أوميبرازول، ولكن مدة العمل أقصر. الرابيبرازول هو بديل البنزيميدازول الذي يثبط إفراز حمض المعدة عن طريق الارتباط بمضخة البروتون في الخلايا الجدارية في المعدة. يمنع هذا المنتج عمل أدينوسين ثلاثي الفوسفات، وهو إنزيم رئيسي في إنتاج حمض المعدة. يمكن أن يمنع إفراز حمض المعدة الأساسي وحمض المعدة الناجم عن التحفيز.





