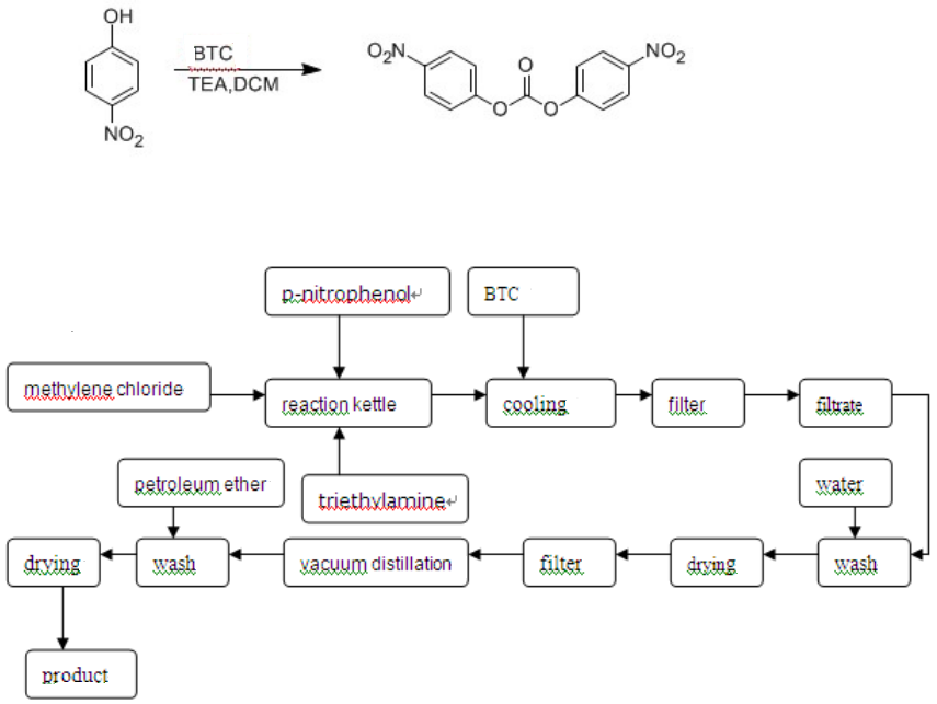
مكرر (4-نيتروفينيل) كربونات (NPC) CAS 5070-13-3 نقاء> 99.0% (HPLC) كواشف اقتران
تعتبر شركة Shanghai Ruifu Chemical Co., Ltd. الشركة الرائدة في تصنيع كربونات Bis(4-Nitrophenyl) (NPC) (CAS: 5070-13-3) ذات الجودة العالية. توفر Ruifu Chemical سلسلة من كواشف الحماية وكواشف الاقتران. يمكن أن توفر Ruifu خدمة التوصيل في جميع أنحاء العالم وبأسعار تنافسية والكميات الصغيرة والكبيرة المتاحة. شراء شخصية غير قابلة للعب, يرجى الاتصال: alvin@ruifuchem.com
| الاسم الكيميائي | مكرر (4 - نيتروفينيل) كربونات |
| المرادفات | المجلس الوطني لنواب الشعب الصيني؛ مكرر (ع - نيتروفينيل) كربونات؛ حمض الكربونيك مكرر (4 - نيتروفينيل) إستر؛ 4-كربونات النيتروفينيل؛ 4,4'-كربونات ثنائي الفينيل؛ دي-4-كربونات النيتروفينيل؛ دي - ف - كربونات النيتروفينيل؛ p,p'-ثنائي ثنائي فينيل كربونات; |
| حالة المخزون | في المخزون، الإنتاج الضخم |
| رقم كاس | 5070-13-3 |
| الصيغة الجزيئية | C13H8N2O7 |
| الوزن الجزيئي | 304.21 جم/مول |
| نقطة الانصهار | 137.0 ~ 144.0 درجة مئوية |
| الكثافة | 1.501±0.06 جم/سم3 |
| حساسة | حساسة للرطوبة |
| الذوبان في الماء | غير قابل للذوبان في الماء |
| الذوبان | قابل للذوبان في الكلوروفورم ورباعي هيدروفيوران |
| درجة حرارة التخزين. | مكان بارد وجاف (2 ~ 8 درجة مئوية) |
| شهادة توثيق البرامج وMSDS | متاح |
| الفئة | الكواشف اقتران |
| العلامة التجارية | رويفو الكيميائية |
| العناصر | معايير التفتيش | النتائج |
| المظهر | Off-أبيض إلى مسحوق بلوري أصفر فاتح | يتوافق |
| نقطة الانصهار | 137.0 ~ 144.0 درجة مئوية | 139.7 ~ 140.9 درجة مئوية |
| خسارة في التجفيف | <0.50% | 0.11% |
| بقايا على الاشتعال | <0.20% | <0.10% |
| الطهارة / طريقة التحليل | >99.0% ([هبلك]) | 99.76% |
| 300 ميجا هرتز | متوافق مع الهيكل | يتوافق |
| الاستنتاج | تم اختبار المنتج وهو مطابق للمواصفات المحددة | |
الحزمة: زجاجة ، كيس رقائق الألومنيوم ، 25 كجم/أسطوانة من الورق المقوى ، أو وفقًا لمتطلبات العميل.
حالة التخزين:حساس للرطوبة. قم بالتخزين في حاويات محكمة الغلق في مستودع بارد وجاف (2 ~ 8 درجة مئوية) بعيدًا عن المواد غير المتوافقة. حماية من الضوء والرطوبة. غير متوافق مع العوامل المؤكسدة والأحماض القوية.
الشحن:التسليم إلى جميع أنحاء العالم عن طريق FedEx / DHL Express. توفير تسليم سريع وموثوق.
1. الخصائص: يجب أن يكون هذا المنتج مسحوق بلوري أبيض إلى أصفر فاتح.
2. تحديد المحتوى: جل السيليكا المرتبط بأوكتاديسيل سيلاني كحشو (250*4.6mm*5.0μm)؛ الأسيتونيتريل: الماء = 70:30 هو الطور المتحرك؛ كان الطول الموجي للكشف 254 نانومتر. معدل التدفق: 0.6 مل/دقيقة؛ اضغط على رقم اللوحة النظرية ضد NPC
يجب ألا تقل الذروة الرئيسية عن 2000.
طريقة التحديد: خذ هذا المنتج، واصنع محلول أسيتونتريل يحتوي على NPC 20 ميكروغرام في كل 1 مل، كحل منتج اختبار.
تم حقن 20 ميكرولتر من محلول الاختبار في الكروماتوجراف، وكان وقت الاحتفاظ بالكروماتوجرام حتى الذروة الرئيسية مرتين.
النتائج: تم حسابه بطريقة تطبيع المساحة، ويحتوي NPC على ما لا يقل عن 99.0%.
3. نقطة الانصهار: يجب تحديد نقطة الانصهار للمنتج وفقًا لطريقة تحديد نقطة الانصهار (الملحق السابع ج، طبعة 2010 من دستور الأدوية الصيني): 137.0~144.0 درجة مئوية.
4. توصيف الرنين المغناطيسي النووي: كان التردد 300 ميجا هرتز، وتم استخدام CDCl3 كمذيب لإجراء توصيف الرنين المغناطيسي النووي للعينات في درجة حرارة الغرفة.
5. فقدان التجفيف: خذ هذا المنتج عند تجفيفه بالفراغ بدرجة حرارة 60 درجة مئوية إلى وزن ثابت، ويجب ألا يتجاوز فقدان الوزن 0.5%.
6. التخزين: يخزن في مكان بارد وجاف بعيدا عن الضوء (RT).
7. فترة إعادة الفحص: سنة واحدة.
كيفية الشراء؟ يرجى الاتصالالدكتور ألفين هوانغ: sales@ruifuchem.com أو alvin@ruifuchem.com
15 عاما من الخبرة؟لدينا أكثر من 15 عامًا من الخبرة في تصنيع وتصدير مجموعة واسعة من المواد الصيدلانية الوسيطة أو المواد الكيميائية الدقيقة عالية الجودة.
الأسواق الرئيسية؟ البيع إلى السوق المحلية وأمريكا الشمالية وأوروبا والهند وكوريا واليابان وأستراليا وغيرها.
المزايا؟ جودة فائقة، وسعر معقول، وخدمات احترافية ودعم فني، وسرعة التسليم.
الجودة ضمان? نظام صارم لمراقبة الجودة. تشمل المعدات الاحترافية للتحليل NMR، وLC-MS، وGC، وHPLC، وICP-MS، وUV، وIR، وOR، وK.F، وROI، وLOD، وMP، والوضوح، والذوبان، واختبار الحد الميكروبي، وما إلى ذلك.
عينات? توفر معظم المنتجات عينات مجانية لتقييم الجودة، ويجب أن يدفع العملاء تكلفة الشحن.
تدقيق المصنع? نرحب بتدقيق المصنع. يرجى تحديد موعد مقدما.
موك؟ لا موك. الطلب الصغير مقبول.
وقت التسليم? إذا كان في المخزون، ضمان التسليم لمدة ثلاثة أيام.
النقل? عن طريق التعبير (فيديكس، دي إتش إل)، عن طريق الجو، عن طريق البحر.
المستندات؟ خدمة ما بعد البيع: يمكن توفير COA، MOA، ROS، MSDS، وما إلى ذلك.
التوليف المخصص? يمكن أن توفر خدمات تركيبية مخصصة لتناسب احتياجاتك البحثية بشكل أفضل.
شروط الدفع? سيتم إرسال الفاتورة الأولية أولاً بعد تأكيد الطلب، مرفقة بالمعلومات المصرفية الخاصة بنا. الدفع عن طريق T/T (تحويل تلكس)، وPayPal، وWestern Union، وما إلى ذلك.
رموز الخطر Xi - مهيج
رموز المخاطر
٣٦/٣٨ - مهيجة للعيون والجلد.
وصف السلامة
س26 - في حالة ملامسة العينين، اشطفهما فورًا بالكثير من الماء واطلب المشورة الطبية.
س36 - ارتداء الملابس الواقية المناسبة.
دبليو جي كيه ألمانيا 3
رموز العلامة التجارية فلوكا F 10-21
رمز النظام المنسق 2920909090
يستخدم كربونات Bis(4-Nitrophenyl) (NPC) (CAS: 5070-13-3) ككاشف لتحضير اليوريا المتماثلة وغير المتماثلة و4-استرات النيتروفينيل للأحماض الأمينية N-المحمية. وهو بمثابة كاشف اقتران الببتيد. يتم تطبيقه ككاشف لتحضير السيتوزينات المرتبطة بالكربامات.
يمكن استخدام NPC كوسيط لواجهات برمجة التطبيقات مثل Ritonavir (CAS: 155213-67-5)، وRivastigmine (CAS: 123441-03-2) وCobicistat (CAS: 1004316-88-4). يستخدم كوسيط للتوليف العضوي أو وسيط صيدلاني أو كاشف كيميائي.






