الاسم الكيميائي: ثلاثي إيثيل أورثوفورمات
مرادفات: TEOF
كاس: 122-51-0
النقاء: ≥99.0% (GC)
المظهر: سائل شفاف عديم اللون
جهة الاتصال: الدكتور ألفين هوانغ
الجوال/ويشات/واتساب: +86-15026746401
البريد الإلكتروني: alvin@ruifuchem.com
الاسم الكيميائي: ستيرات الليثيوم
مرادفات: ملح الليثيوم حامض دهني
كاس: 4485-12-5
محتوى أكسيد الليثيوم: 5.1%~5.8%
المظهر: مسحوق ناعم أبيض
إيثيل جليوكسيلات، محلول 50% في التولوين
كاس: 924-44-7
المظهر: سائل عديم اللون أو أصفر فاتح
الاسم الكيميائي: 1-برومو-2-ميثيل بروبان
المرادفات: بروميد الإيزوبوتيل
كاس: 78-77-3
النقاء: >98.0% (GC)
المظهر: سائل عديم اللون
الاسم الكيميائي: دوديسيل بنزين
المرادفات: لوريل بنزين؛ 1-فينيل دوديكان
كاس: 123-01-3
قابلية السلفونات: ≥98.5%
الماء-سائل أبيض شفاف، لا توجد مواد معلقة
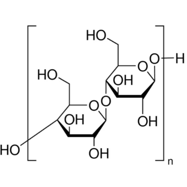
الاسم الكيميائي: السليلوز الجريزوفولفين
المرادفات: مركز عملائي؛ السليلوز الجريزوفولفين
كاس: 9004-34-6
الفحص: 97.0 ~ 102.0%
المظهر: أبيض أو مسحوق أبيض
جودة عالية، إنتاج تجاري
حمض دوديسيل بنزين سلفونيك (النوع الناعم) (خليط)
مرادفات: لابسا
كاس: 27176-87-0
المحتوى النشط: ≥96.0%
المظهر: سائل لزج أصفر شاحب وبني
دوديسيل بنزين (نوع ناعم) (خليط من أيزومرات السلسلة الخطية)
كاس: 29986-57-0
ماء-سائل أبيض شفاف، لا توجد مواد معلقة
الاسم الكيميائي: تريس (2 - كلورو إيثيل) فوسفات
المرادفات: TCEP
كاس: 115-96-8
النقاء: ≥99.0% (HPLC)
سائل شفاف زيتي عديم اللون أو أصفر شاحب
مثبطات اللهب، ذات جودة عالية
الاسم الكيميائي: كبريتات الأمونيوم
كاس: 7783-20-2
(NH4)2SO4 المحتوى: 99.0~100.5%
المظهر: أبيض إلى أوف - مسحوق بلوري أبيض
خلات الميثيل (ثلاثي فينيل فوسفورانيدين).
كاس: 2605-67-6
النقاء: >98.0% (HPLC)
6-ميثيل-1,3,5-تريازين-2,4-ديامين
مرادفات: أسيتوجوانامين
كاس: 542-02-9
المظهر: أبيض إلى مسحوق أبيض
الاسم الكيميائي: سيكلوبروبيل ميثيلامين
المرادفات: (أمينوميثيل) سيكلوبروبان
كاس: 2516-47-4
النقاء: ≥98.0% (GC)
المظهر: عديم اللون إلى سائل شفاف أصفر فاتح
الاسم الكيميائي: N، N - ثنائي ميثيل أليلامين
مرادفات: دما؛ N-أليليديميثيلامين
كاس: 2155-94-4
المظهر: عديم اللون إلى سائل أصفر شاحب