DMDO-Cl CAS 80841-78-7 نقاء> 96.0% (GC) مصنع أولميسارتان ميدوكسوميل الوسيط
Ruifu Chemical Supply أولميسارتان ميدوكسوميل يتوسط بجودة عالية:
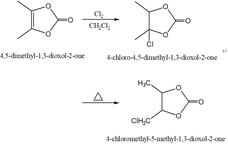
4,5-ثنائي ميثيل-1,3-ديوكسول-2-واحد (دمدو) CAS 37830-90-3
4-كلوروميثيل-5-ميثيل-1,3-ديوكسول-2-واحد (DMDO-Cl) CAS 80841-78-7
إيثيل 4-(1-هيدروكسي-1-ميثيل إيثيل)-2-بروبيل-إيميدازول-5-كربوكسيلات CAS 144689-93-0
ثنائي إيثيل 2-بروبيل-1H-إيميدازول-4,5-ثنائي الكربوكسيل CAS 144689-94-1
تريتيل أولميسارتان إيثيل إستر CAS 144690-33-5
حمض تريتيل أولميسارتان CAS 761404-85-7
N2-حمض تريتيل أولميسارتان CAS 752179-89-8
تريتيل أولميسارتان ميدوكسوميل CAS 144690-92-6
أولميسارتان ميدوكسوميل CAS 144689-63-4
| الاسم الكيميائي | 4-كلوروميثيل-5-ميثيل-1,3-ديوكسول-2-واحد |
| المرادفات | دمدو-الكلور |
| رقم كاس | 80841-78-7 |
| رقم القط | الترددات اللاسلكية - PI1871 |
| حالة المخزون | المتوفر، القدرة الإنتاجية 300 طن/السنة |
| الصيغة الجزيئية | C5H5ClO3 |
| الوزن الجزيئي | 148.54 |
| نقطة الغليان | 93 درجة مئوية/2 مم زئبقي |
| العلامة التجارية | رويفو الكيميائية |
| البند | المواصفات |
| المظهر | عديم اللون إلى السائل الأصفر |
| تحديد الهوية (GC) | يتوافق وقت الاحتفاظ بالذروة الرئيسية في اللوني للعينة مع المعيار الذي يتم الحصول عليه في النقاء والمواد ذات الصلة |
| الطهارة / طريقة التحليل | >96.0% (GC) |
| الماء (بقلم كارل فيشر) | <0.50% |
| النجاسة أ | <1.50% |
| النجاسة ب | <0.50% |
| النجاسة ج | <3.00% |
| النجاسة د | <4.00% |
| النجاسة ه | <0.10% |
| معامل الانكسار N20/D | 1.476 ~ 1.482 |
| الجاذبية النوعية (20/20 درجة مئوية) | 1.357 ~ 1.363 |
| طيف البروتون الرنين المغناطيسي النووي | يتوافق مع الهيكل |
| معيار الاختبار | معيار المؤسسة |
| الاستخدام | وسيط أولميسارتان ميدوكسوميل (CAS: 144689-63-4) |
طريق تخليق 4-كلوروميثيل-5-ميثيل-1,3-ديوكسول-2-واحد
الحزمة: زجاجة مفلورة، 25 كجم/أسطوانة، أو وفقًا لمتطلبات العميل
حالة التخزين:تخزينها في حاويات مغلقة في مكان بارد وجاف. حماية من الضوء والرطوبة


4-كلوروميثيل-5-ميثيل-1,3-ديوكسول-2-واحد، (DMDO-Cl) (CAS: 80841-78-7) هو مادة وسيطة لأولميسارتان ميدوكسوميل (CAS: 144689-63-4. أولميسارتان ميدوكسوميل هو مضاد جديد انتقائي وتنافسي لمستقبلات الأنجيوتنسين II غير الببتيد يستخدم لعلاج ارتفاع ضغط الدم. يعمل أولميسارتان عن طريق منع ارتباط الأنجيوتنسين II بمستقبلات AT1 في العضلات الوعائية. من خلال منع الارتباط بدلاً من تخليق الأنجيوتنسين II، يثبط الأولميسارتان ردود الفعل التنظيمية السلبية على إفراز الرينين. تم إطلاق أولميسارتان ميدوكسوميل في الولايات المتحدة باسم Benicar@، وهو علاج يُعطى عن طريق الفم لارتفاع ضغط الدم.





