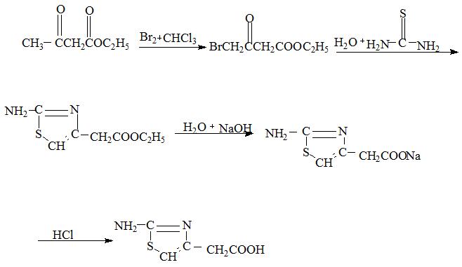
(2-أمينو-4-ثيازوليل) حمض الأسيتيك (ATAA) CAS 29676-71-9 نقاء> 99.5% (HPLC) مصنع سيفوتيام الوسيط
توريد الشركة المصنعة بجودة عالية وإنتاج تجاري
الاسم الكيميائي: (2-أمينو-4-ثيازوليل) حمض الأسيتيك CAS: 29676-71-9
| الاسم الكيميائي | (2-أمينو-4-ثيازوليل) حمض أسيتيك |
| المرادفات | أتا؛ (2-أمينوثيازول-4-ييل) حمض الأسيتيك؛ 2-أمينوثيازول-4-حمض الأسيتيك؛ 2-أمينو-4-حمض الخليك الثيازول |
| رقم كاس | 29676-71-9 |
| رقم القط | الترددات اللاسلكية - PI1112 |
| حالة المخزون | في المخزون، يصل الإنتاج إلى طن |
| الصيغة الجزيئية | C5H6N2O2S |
| الوزن الجزيئي | 158.18 |
| العلامة التجارية | رويفو الكيميائية |
الحزمة: زجاجة، كيس رقائق الألومنيوم، 25 كجم/أسطوانة من الورق المقوى، أو وفقًا لمتطلبات العميل.
حالة التخزين:تخزينها في حاويات مغلقة في مكان بارد وجاف. حماية من الضوء والرطوبة.


(2-أمينو-4-ثيازوليل) حمض الأسيتيك (CAS: 29676-71-9) يمكن استخدامه كوسيط لسيفوتيام. سيفوتيام هو مضاد حيوي من الجيل الثالث من بيتا لاكتام سيفالوسبو، وهو فعال ضد مجموعة واسعة من البكتيريا إيجابية الجرام وسالبة الجرام. سيفالوسبورين شبه صناعي يتم صياغته على شكل ثنائي هيدروكلوريد للحقن وكإستر دواء أولي، سيفوتيام هيكسيتيل، للإعطاء عن طريق الفم. نشاطه مشابه لنشاط سيفوروكسيم، ولكنه أكثر نشاطًا إلى حد ما ضد مجموعة من البكتيريا المعوية.





